DANE TECHNICZNE
Rozstaw osi: Górna obudowa
Zastosowanie: Pojazdy i zabawki zdalnie sterowane
Części/akcesoria do modernizacji: Silnik
Narzędzia: Szlifowane
Parametry techniczne: Wartość 3
Urządzenia peryferyjne/urządzenia zdalnego sterowania: Silnik
Zalecany wiek: 14+y
Części i akcesoria do zdalnie sterowanego pilota: Silniki
Ilość: 1 szt.
Pochodzenie: Chiny kontynentalne
Numer modelu: D3548
Materiał: Metal
Napęd na cztery koła Atrybuty: Silniki
Do typu pojazdu: Samoloty
Nazwa marki: Skyquist

Cechy:
Magnes poziomu 48H
Test precyzyjnego wyważonego wirnika
Konstrukcja silnika 14P12N o wysokim momencie obrotowym
Aluminiowy dzwonek CNC 6061-T6
Importowane łożyska o wysokich obrotach (NSK/NMB)
Odporne na wysokie temperatury uzwojenie drutu miedzianego
Waga: 170g (łącznie z przewodami)
Rozmiar silnika: 35,3 x 48 mm
Rozmiar wału: 5,0*65,5 mm
Mocowanie silnika: 19*25mm(M3*4)
Konfiguracja: 12N14P
Wartość KV: 760KV, 900KV,1150KV lub niestandardowy KV
Zakres temperatury roboczej :-0℃~+80℃
Metoda sterowania: użyj ESC i dostosuj sygnał PWM do sterowania, zakres regulacji PWM 900-2100US
Typ silnika: silnik bezszczotkowy Outrunner, silnik trójfazowy
KV: 760KV
Maksymalna moc: 353,6 W
Maksymalny prąd: 29,44 A
Brak prądu obciążenia: 1,54A/10V
Rezystancja: 34,4mΩ
Akumulator: 3-4S Lipo
Sugerowana podpora: podpora 13 cali
KV: 900KV
Maksymalna moc: 1324,1 W
Maksymalny prąd: 55,8A
Brak prądu obciążenia: 2,66A/10V
Rezystancja: 24,0 mΩ
Akumulator: 3-6S Lipo
Sugerowana podpora: 9-calowa podpora
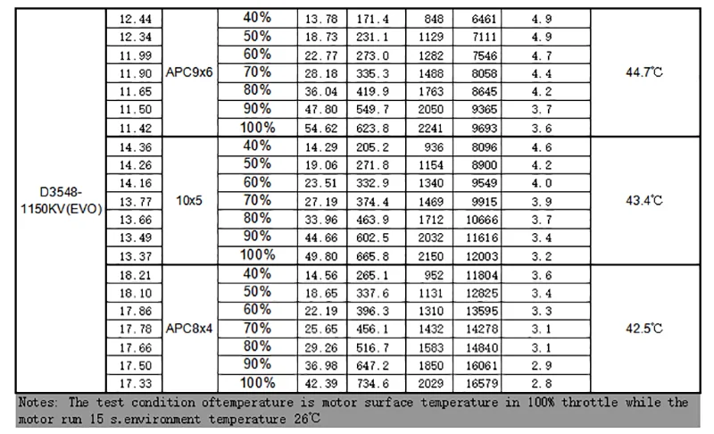
KV: 1150KV
Maksymalna moc: 623,8 W
Maksymalny prąd: 54,62A
Brak prądu obciążenia: 3,34A/10V
Rezystancja: 19,0mΩ
Akumulator: 3-4S Lipo
Sugerowana podpora: 9-calowa podpora










Odkryj więcej dronów i akcesoriów
-
Dron z kamerą
Nasza kolekcja dronów kamerowych oferuje szeroki wybór marek, w tym FIMI, JJRC,...
-
Akcesoria dronów
Odkryj szeroką gamę akcesoriów do dronów, aby poprawić osiągi lotu, wydłużyć żywotność...